Какие моменты затяжки болтов коленвала двигателя BSE?
Skoda Octavia Octavia II (A5)
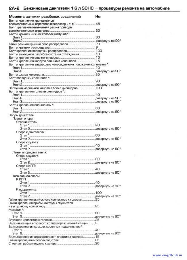
Двигатель BSE, момент затяжки болтов коленвала
1 Ответы
1
Прикладываю таблицу моментов затяжки.



задан 8 лет назад
Похожие материалы
Какие номера подшипников и сальников передней ступицы Октавия А5 дорестайл?
Qa
3.7k
8
Заглох двигатель на ходу FSI Шкода Октавия А5
Qa
333
1
Течь масла из под клапанной крышки в Шкода Октавия А5
Qa
2.4k
2
Дергается Шкода Октавия А5
Qa
11.8k
3
Бензин в масле Шкода Октавия А5
Qa
5.2k
5
Где номер на двигателе 1.6 FSI, Шкода Октавия?
Qa
4.2k
1