Ошибка Р2191 Хендай Генезис Купе
Hyundai Genesis Coupe Genesis Coupe I
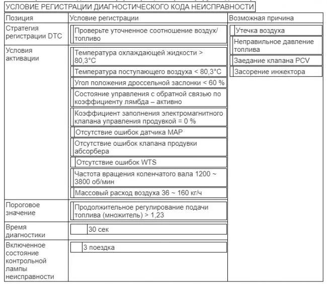
Горит ошибка Р2191-слишком бедная топливно-воздушная смесь при высокой нагрузке банк 1. С чем может быть связана проблема?
2 Ответы
Эта ошибка может быть связана с не учтённым подсосом воздуха во впускной коллектор или связана с недостатком топлива.
По подсосу воздуха проверяйте все вакуумные трубки впускного коллектора, могут порваться, отсоединиться, а также проверить, при работающем двигателе, все места стыка коллектора дымогенератором или спреем из баллончика (вэдэшкой, унисмой, освежителем воздуха).
По топливу: возможно забит топливный фильтр или недостаточное давление топлива. Надо проверить давление перед форсунками.
Проверьте фактическое давление в топливной системе, если обороты холостого хода не плавают, то подсоса воздуха нет. Так же причины описаны ниже, так же вам может пригодится видео



Похожие материалы