Какое масло заливать в ВАЗ 2109?
ВАЗ (Lada) 2108/2109 2108/2109
Скажите, какое моторное масло лучше заливать на ВАЗ 2109?
1 Ответы
0

Картинка в лучшем качестве.
Масло двигателя ВАЗ 2109 меняется каждые 15,000 км, желательно, вместе с масляным фильтром.
Менять лучше сразу после поездки или предварительно прогрева двигатель. Словом, на горячую. Рекомендуется лить то же самое масло, которое в двигателе. А при переходе на другое следует промыть систему смазки промывочным маслом. Также отдельно стоит подойти к выбору масла в зимний период.
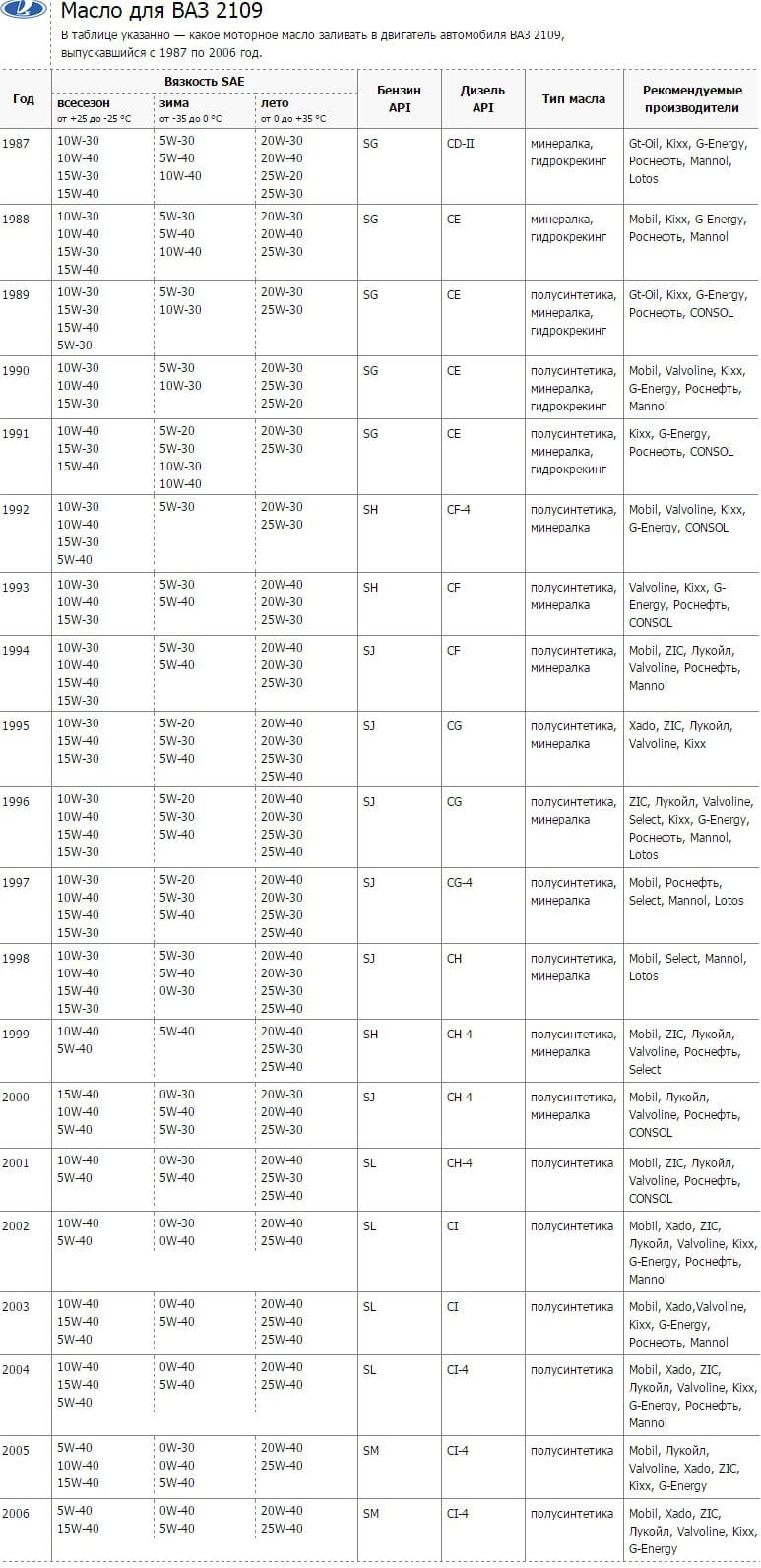
Выбрать подходящее по вязкости и качеству моторное масло для 2109 поможет таблица вверху.
задан 11 лет назад
Похожие материалы
Замена масла на ВАЗ 2109
Видео
19.7k
5
0
Замена масла, воздушного и топливного фильтра на ВАЗ 2108, 2109, 21099
Видео
5.6k
0
2
Замена ремня ГРМ и помпы на ВАЗ 21099
Видео
20k
9
0
Свечи на ВАЗ 2106, 2107, 2108, 2109
Статьи
35.2k
28
0
Замена масла в двигателе ВАЗ 21093 инжектор
Руководства
7.7k
8
0
Замена масла в двигателе ВАЗ 2109
Руководства
5.2k
4
0